原文信息
题目:老工业城市数字化转型与减污降碳协同发展动态评价及障碍因子诊断
作者:朱高立,杨清可,李发志
期刊:《环境科学》25年11期
摘要 在中国经济迈向高质量发展和绿色低碳转型的时代背景下,老工业城市作为传统工业体系的重要承载者,面临着既要加速数字化转型以实现经济结构升级,又要严格控制污染物排放以履行低碳发展的双重压力和挑战。基于2010-2022年全国95个老工业城市数据,运用组合客观赋权、加权求和等方法综合评价了数字化转型与减污降碳发展水平,并结合耦合发展模型与障碍因子诊断模型,深入分析老工业城市在数字化与绿色转型中的协同发展水平与主要制约因素。结果表明:①根据2022年数字化转型与减污降碳的协同发展指数测算结果及发展阶段特点,可将95个老工业城市分成严重失调(20个)、初级协调(43个)和良好协调(32个)等3种类型。②数字化转型与减污降碳协同发展指数虽然呈上升态势,但存在不同区域和不同等级城市间的显著差异,即东部地区和二线城市的协同发展水平较高,而中西部、东北地区及低等级城市则表现较为滞后。③通过障碍因子识别发现,技术创新能力(如软件业务收入占GDP比例、企业R&D经费支出)和基础设施建设(如光缆线路长度、互联网宽带接入端口)是阻碍老工业城市数字化转型的主要障碍,而污染物排放(如二氧化硫、氮氧化物)则是减污降碳进程中的主要障碍。基于上述结论,提出了提升技术创新能力、完善基础设施建设和加强污染治理等推动老工业城市数字化转型与减污降碳协同发展的建议。 关键词 老工业城市;数字化转型;减污降碳;协同发展;障碍诊断
随着中国经济进入高质量发展新阶段,数字化转型和绿色低碳发展成为推动产业结构优化和经济转型升级的核心驱动力[1,2]。老工业城市作为中国工业化进程的重要载体,因其产业结构单一、能源消耗高和环境污染严重等问题,面临着加速转型升级的迫切需求[3]。在此背景下,如何推动老工业城市在数字化与绿色低碳发展间实现协同发展,已成为理论研究与政策实践中的重要课题。从现实需求来看,老工业城市是中国工业经济的重要组成部分,其能源消耗和污染排放对全国碳达峰与碳中和目标具有重要影响。通过数字化手段推动老工业城市的节能减排,不仅有助于提升城市综合竞争力,缓解资源环境压力,还能为其他资源型城市或工业化城市的转型提供示范效应,推动区域经济升级。从理论研究来看,老工业城市因其特有的产业结构和历史包袱,在数字化与绿色低碳化协同推进过程中具有复杂的动态特征,如何实现二者的高效协同发展仍缺乏系统性的研究。
当前关于数字化转型和减污降碳的研究大多集中在单一领域。例如,数字化转型的研究主要聚焦于数字基础设施建设[4]、技术创新扩散[5,6]、产业结构优化[7]、智能制造与自动化[8]以及数字经济的增长机制[9]。与此同时,减污降碳的研究则多集中于减污降碳的自身内部协同[10]、污染物排放的监控与治理[11]、碳排放经济强度[12,13]、可再生能源应用[14]以及绿色技术创新[15]等方面。然而,以上研究大多从单一维度展开,缺乏对数字化转型与减污降碳协同发展的系统性分析。近年来,部分学者开始探索数字化与绿色低碳化的交叉领域研究。例如,有研究关注数字化转型在提高能源效率和减少碳排放中的作用[16],也有学者探讨了数字化技术如何推动绿色创新与清洁生产[17]。除此之外,部分研究进一步关注数字化转型在推动低碳政策执行中的作用[18-20],分析了数字化与绿色消费的结合[21,22]。然而,以上研究大多停留在理论层面,对不同类型城市(如老工业城市)在数字化与绿色转型中的协同发展特征及障碍因素分析不足。特别是针对老工业城市这一特殊类型,因其产业结构和历史包袱,数字化与低碳化的协同推进面临更复杂的动态特征,目前尚缺乏深入系统的研究。
基于此,本文聚焦老工业城市数字化转型与减污降碳协同发展的动态评价与障碍因子诊断。研究通过构建综合评价指标体系,测算了2010-2022年全国95个老工业城市的协同发展水平,基于多维指标数据,动态跟踪不同时期的发展演化特征与趋势;同时,运用障碍因子诊断模型,深入分析影响协同发展的主要障碍因素,识别城市在转型过程中的短板与瓶颈。本文的边际贡献在于:研究对象的特殊性:针对老工业城市这一特定对象,构建全面的数字化转型与减污降碳协同评价体系,弥补现有研究中泛化研究对象的不足。研究方法的系统性:结合多维指标评价模型与障碍因子诊断模型,从动态和静态两个维度分析老工业城市协同发展的水平与瓶颈问题,为研究提供更全面的分析视角。政策指导的实践性:基于研究结果提出提升技术创新能力、完善基础设施建设和加强污染治理的对策建议,以期为政策制定者提供有针对性的决策支持。
1理论框架及作用机制
在老工业城市的转型过程中,数字化转型与减污降碳的协同发展是推动城市经济高质量发展的核心路径。二者通过多层面互动,形成了系统性、动态化的相互促进关系。以下从数字化转型的作用、减污降碳的反向推动路径及协同效应这3个方面,逐层分析两者的理论关系(见图1)。

1.1数字化转型推动减污降碳的作用路径
数字化转型在推动减污降碳目标的过程中发挥着关键作用[23]。主要表现为以下三方面:首先,能源效率提升与碳排放削减。数字化转型通过智能化技术的应用,特别是物联网、大数据和人工智能,极大地提高了能源的利用效率[24,25],进而减少了碳排放。老工业城市传统制造业由于设备老化、工艺落后,能源消耗与碳排放普遍较高。数字化转型能够通过智能电网、智能制造和能源管理系统,实现能源的实时监控和动态优化[26]。例如,智能制造系统通过数据采集和分析优化生产过程,降低能源浪费和碳排放,不仅减少污染,还推动了产业的绿色转型。其次,产业结构优化与绿色创新驱动。产业结构优化是数字化转型的重要结果,而绿色创新则是推动产业结构调整的重要动力。数字化技术通过减少传统高能耗产业比例,同时增加数字经济、清洁能源等绿色低碳产业的占比,推动了产业链整体绿色化[27,28]。例如,大数据和预测分析技术帮助优化供应链管理,减少资源浪费和运输过程中的碳排放;智能平台推动循环经济发展,使资源回收利用率显著提高。这种绿色创新促进了数字经济与传统产业的深度融合,从而推动老工业城市实现可持续转型。最后,清洁生产与污染物治理的精细化管理。数字化转型的核心在于通过数字化技术对生产过程进行全面控制和精细化管理[29,30]。例如,物联网传感器实时监控工业排放中的二氧化硫、氮氧化物和颗粒物,并根据监测数据即时调整生产设备的运行状态,实现污染物排放的显著削减。同时,数据的积累和智能算法的优化使得污染治理更加具备前瞻性和可持续性,推动了减污降碳的动态管理。
1.2减污降碳反向推动数字化转型的路径
减污降碳作为推动经济高质量发展的重要目标,不仅依赖于数字化转型的支持,还通过政策引导、市场需求和技术升级等路径,反向促进了数字化技术的应用与深化。首先,政策引导推动数字化技术的应用。国家和地方政府为了实现减污降碳目标,通过一系列政策措施激励企业采用数字化技术,增强其环保与低碳能力:政策工具的倒逼效应。如碳排放权交易制度(ETS)为企业提供了碳排放的市场化交易平台,企业需要通过数字化监测系统来准确记录和报告其排放量,从而确保合规[31]。这种政策倒逼机制不仅提高了企业的碳排放管理能力,还促使其加速引入工业互联网平台以优化生产工艺。绿色认证标准的推动作用。例如,绿色建筑和绿色供应链认证要求企业在产品生命周期中应用碳足迹分析系统,这种分析系统的实施依赖于物联网和区块链技术,从而推动企业加快数字化管理的进程。其次,市场需求促进数字化产品与服务升级。随着绿色消费意识的提高,消费者对低碳产品和服务的需求显著上升,倒逼企业通过数字化手段来满足市场需求:供应链透明化与数字化升级。绿色消费需求迫使企业应用区块链技术实现供应链全流程透明化,以提升消费者对产品的信任。例如,某些食品企业已经开始通过区块链追踪农产品从种植到销售的碳排放情况,并通过碳标签向消费者展示其产品的低碳属性。定制化生产与精准营销。数字化技术使得企业能够根据绿色消费需求进行低碳产品的定制化生产和精准营销。例如,智能制造技术通过大数据分析,预测不同区域消费者的环保偏好,从而调整生产线,优化资源利用[32]。最后,技术升级助推绿色产业转型。减污降碳目标直接推动了智能化与绿色技术的快速发展:低碳技术标准化的推动作用。在行业标准化要求下,企业需引入智能监测设备和数字化管理系统以满足低碳生产要求。例如,在化工行业,智能化排放监测设备已成为满足国家污染物排放标准的重要工具。技术溢出与创新驱动.减污降碳政策引发的绿色技术需求促进了数字化转型相关技术的溢出效应。以智能电网为例,其在优化能源分配的同时,为其他行业提供了精准监测和智能化调度的技术支持。
1.3数字化转型与减污降碳的协同效应
数字化转型与减污降碳技术、管理和产业链的深度融合,在推动绿色经济高质量发展中相互促进,形成了多层次、多领域的联动机制。这种协同效应首先体现在生产、物流和消费等全链条的系统耦合与协同优化上:生产环节中,数字化技术通过对生产全流程的精确控制和资源配置优化,大幅提升生产效率[33],例如智能制造平台利用数字孪生技术实时监测设备运行状态,从而优化能源消耗、减少废料排放;物流与供应链领域,通过物联网设备和大数据分析,数字化技术实现了碳排放的实时监控和路径优化,如冷链运输行业应用人工智能技术优化配送路径,不仅降低了能源消耗,还减少了食品浪费。此外,数字化转型为减污降碳提供了协同创新的平台,而减污降碳的需求反过来推动了绿色技术与商业模式的变革[34,35],例如工业互联网平台汇聚的生产与排放数据,为绿色技术研发提供了数据支持,从而优化光伏发电与储能系统的运行效率;共享经济和循环经济模式也通过数字化平台得以创新实施,如基于物联网的资源回收网络实现了废旧电子产品全生命周期管理的高效追踪。与此同时,数字化与减污降碳的协同效应通过动态反馈机制增强了系统韧性,这种实时数据监测和调整能力体现在能源与环境政策的优化上,例如碳排放交易平台的动态数据支持使政策制定者能够及时调整碳配额和价格机制;在能源价格波动或气候异常情况下,数字化系统如智能电网凭借快速响应和资源调度能力显著增强了适应能力。最后,这种协同效应还扩展到社会与经济领域,通过跨领域协同推动城市治理与产业生态系统的重构,例如智慧城市平台整合交通、能源和废弃物管理系统,实现了城市整体碳排放的动态监测与优化,同时市民通过数字化平台参与低碳行为,推动绿色生活方式;在传统产业中,如钢铁行业,工业互联网平台实现了全过程排放监控,并建立跨行业循环经济网络,大幅提升了资源利用效率。由此可见,数字化转型与减污降碳的协同效应不仅推动了绿色经济高质量发展,还从生产到社会各领域构建了深远的联动效应。
2材料与方法
2.1指标体系构建与数据来源
2.1.1数字化转型与减污降碳的评价指标体系构建
为了科学评估数字化转型与减污降碳进程,本文构建了相应的评价指标体系。数字化转型指标体系从数字基础设施、数字产业发展、数字普惠金融和数字创新能力这4个维度出发,共设12个指标。具体而言,数字基础设施包括移动电话交换机容量、光缆线路长度、互联网宽带接入端口数及每百人拥有的域名数,旨在衡量基础设施对数字化的支持程度。数字产业发展通过人均快递量、电信业务总量占GDP比例和软件业务收入占GDP比例等指标,评估数字产业的经济贡献。数字普惠金融的覆盖广度与使用深度指数则衡量金融服务的普及性和可及性。数字创新能力通过技术合同成交额、工业企业R&D项目数及R&D经费占GDP比例等指标,反映创新驱动的力度。减污降碳评价体系则分为减污系统和降碳系统两个维度,包含7个具体指标。减污系统主要通过二氧化硫、氮氧化物、烟粉尘排放量及一般工业固体废物的生产量来衡量污染物的排放状况。降碳系统则通过碳排放经济强度、人口强度及能源强度等指标,评估碳排放的经济、人口及能源效率。
2.1.2数据来源与数据处理
根据《全国老工业基地调整改造规划(2013-2022年)的通知》,全国共有老工业城市120个,分布在27个省(区、市),其中地级城市95个,直辖市、计划单列市和省会城市25个。选取其中的95个地级老工业城市为研究对象,选取2010-2022年数据进行分析。数据来自研究年份的《中国统计年鉴》《中国电力统计年鉴》《中国环境统计年鉴》《中国能源统计年鉴》《中国汽车工业统计年鉴》《中国城市统计年鉴》《中国区域经济统计年鉴》以及95个地级老工业城市相应年份的统计年鉴及国民经济发展统计公报、智慧芽专利数据库和CNESA数据库等。碳排放数据来源中国碳核算数据库、中国多尺度排放清单模型和公众环境研究中心“双碳”地图等综合收集整理得到。部分缺失数据通过插值法进行补充。
2.2指标权重与评价模型
采用熵值法、距优平方和法以及均方差法相结合的客观组合赋权法来确定数字化转型系统和减污降碳系统的评价指标权重。熵值法作为一种典型的客观赋权方法,能够有效捕捉各指标所包含的信息量,并减少多指标之间信息的冗余,因此适用于多维指标的综合评价。在数据标准化的基础上,通过计算各项指标的熵值及其差异系数,从而得出相应权重。距优平方和法则可以反映指标对整体评价结果的综合影响力,距离优值越大的指标,其相对重要性越高。均方差法通过分析指标的离散度,基于各指标的均值和方差,计算出其相应权重。通过将这3种方法计算的权重结果取平均值,得出最终的综合权重。各方法计算所得的指标权重及最终综合权重结果见表1和表2。

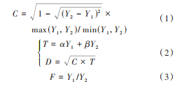
2.3协同发展模型
协同发展模型在多个领域得到了广泛应用,如土地利用与规划[36]、产业发展评估[37,38]、新型城镇化[39]以及区域经济协同[40,41]等。本文采用了改进的协同发展度模型,以评估数字化转型与减污降碳协同发展水平。与传统模型相比,改进后的模型有效解决了效度偏低的问题[42]。同时,引入了相对发展度模型[43,44],用于计算数字化转型与减污降碳之间的相对发展系数,从而更全面地揭示这两大系统的相对发展进程及差距:

式中,Y1为数字化转型指数;Y2为减污降碳指数;C为两系统耦合度;T为系统间综合协调指数;α和β为待定系数,表示数字化转型与减污降碳两个系统各自重要程度,均取值0.5;D为数字化转型与减污降碳的协同发展度;F为相对发展度。
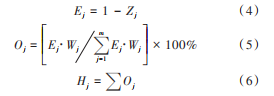
2.4障碍度模型
为识别数字化转型与减污降碳协同发展的障碍因素,引入障碍度模型[45,46],测算各项指标对数字化转型与减污降碳协同发展的负向贡献程度,计算公式为:

式中,Ej为第j项指标的偏离度,Zj为通过极差标准化得到的各项指标的标准化值;Wj为因子贡献度,表示各项指标对数字化转型与减污降碳协同发展水平的权重,Oj为单项指标对数字化转型与减污降碳协同发展水平的障碍度;Hj为各子系统层对数字化转型与减污降碳协同发展水平的障碍度。
3结果与讨论
3.1数字化转型与减污降碳协同发展的特征分析
3.1.1数字化转型与减污降碳协同发展阶段及相对发展类型
表3展示了2022年度95个老工业城市在数字化转型与减污降碳协同发展中的不同发展阶段及相对发展类型。总体来看,95个老工业城市在这一过程中呈现出3种典型发展阶段:严重失调(20个)、初级协调(43个)和良好协调(32个),各城市之间的表现存在显著差异。首先,处于严重失调阶段的城市,数字化转型显著落后于减污降碳工作,如长治、萍乡和鹤壁等,以上城市的发展指数低于0.3,相对发展度不足0.8。此类城市多集中于资源型或传统重工业城市,产业结构单一,数字基础设施薄弱,限制了数字化与绿色发展的同步推进。此外,像金昌和辽源等城市则出现减污降碳滞后于数字化转型的情况,表明尽管以上城市在数字化方面有所进展,但环境治理方面相对滞后,污染控制和减排压力较大。其次,处于初级协调阶段的城市数量最多,表明其数字化与减污降碳已取得一定进展,发展指数在0.3-0.5之间。例如,张家口和邢台等城市数字化滞后于减污降碳,而泸州和大同等城市则实现了同步推进。以上城市多位于中国中部和西部地区,虽然政策支持逐步加强,但受限于经济基础薄弱和技术创新不足,数字化应用较为有限,导致协同发展进展相对缓慢。最后,良好协调阶段的城市,如徐州、常州和唐山等,表现出较高的协同发展水平,发展指数在0.5-0.7之间。得益于东部地区较强的经济基础和政策支持,以上城市能够在推动数字化的同时有效减少污染排放,尤其在智能制造和绿色技术的应用上具备先发优势。然而,部分城市如洛阳、咸阳虽数字化转型较快,但减污降碳滞后,表明环保治理仍需加强。综上所述,分析结果揭示了老工业城市在数字化与绿色转型中的多样化路径和挑战。严重失调的城市需加大数字基础设施投入,初级协调阶段的城市应优化绿色治理策略,而良好协调阶段的城市需在保持数字化领先的同时强化减排,推动更高水平的绿色转型。

3.1.2数字化转型与减污降碳协同发展的区域异质性分析
基于地理特征、经济发展差异、历史背景及政策导向的综合考量,将研究范围内的95个老工业城市依地理位置不同分为东部、中部、西部和东北部这4个区域,对应的城市数量分别为13个、34个、25个和23个。图2显示了2010-2022年不同区域数字化转型与减污降碳协同发展指数的变化。其中,东部地区的13个老工业城市表现最为突出,协同发展指数从2010年的0.47稳步增长至2022年的0.89,表现最为突出,得益于技术创新和政策引导的双重推动。然而,自2020年起,东部地区的协同发展指数增速趋缓:其一,东部地区的绿色转型和数字化进程已达到较高水平,技术扩展的边际效益减弱。其二,受到全球疫情影响,2020年之后东部地区的制造业出口受阻,对绿色转型资金投入和项目推广带来一定压力。其三,东部地区近年来环境政策标准提高,但企业在污染控制和节能减排技术的适应上仍有一定滞后性。中部地区的34个老工业城市,指数从2010年的0.43增长至2022年的0.70,增长相对平稳。虽然增速平稳,但仍慢于东部地区,反映出中部地区仍受制于传统重工业,尽管政策支持力度加大,但技术创新和产业升级的动力不足,阻碍了绿色转型的深入。西部地区的25个老工业城市展现了后发优势,指数从2010年的0.40提升至2022年的0.75,尤其自2015年起,增速加快。西部地区的快速进展得益于清洁能源(如风能、太阳能)的开发和政策支持,但基础设施和技术短缺仍限制了其长期发展潜力。东北地区的23个老工业城市表现滞后,指数从2010年的0.38缓慢上升至2022年的0.60。该地区长期依赖重工业,面临技术创新不足、资金短缺和产业结构僵化等深层问题,导致转型进展缓慢。

3.1.3数字化转型与减污降碳协同发展的城市等级异质性分析
根据“第一财经·新一线城市研究所”报告,将95个老工业城市按商业资源、城市枢纽性、人口活跃度等五大维度划分为二线、三线、四线和五线城市,探讨不同城市等级在数字化转型与减污降碳协同发展中的表现差异。图3展示了2010-2022年各等级城市的协同发展指数变化。首先,二线城市(2个)在协同发展中表现最为突出,指数从2010年的0.44上升至2022年的0.81。以上城市拥有较高的资源集聚度和技术水平,能够快速应用数字化技术并推动低碳转型。然而,尽管二线城市整体领先,随着城市扩张,它们在协调基础设施建设与减污降碳需求方面仍面临一定挑战。三线城市(29个)的协同发展指数从0.41增长至0.68,表现较为稳健。政策支持和基础产业是推动其数字化和绿色转型的关键因素,尽管三线城市取得了一定进展,但其技术引进和资金支持力度有限,导致发展速度相对较慢。四线城市(43个)协同发展指数从0.38提升至0.61。虽然近年来有所进展,尤其是2020年政策红利释放后,部分城市加快了数字化基础设施建设和产业调整,但产业结构单一、高技术产业匮乏的问题仍制约了其协同发展进程。五线城市(21个)在数字化转型和减污降碳协同发展中表现最为落后,指数从0.36升至0.56。五线城市普遍面临产业基础薄弱、技术水平较低的困境,缺乏自主创新能力,严重依赖上级政府的政策支持和外部资源的输入。其在数字化转型和绿色发展的进程中进展缓慢。总体来看,二线城市凭借较强的经济基础和技术优势,在协同发展中处于领先地位,但面临进一步优化资源配置的需求。三线和四线城市则需依赖政策支持与产业升级以增强协同发展能力。五线城市面临较大挑战,亟需外部支持加速其数字化转型与绿色转型进程。

3.2障碍因子诊断
3.2.1数字化转型障碍因子诊断
表4展示了不同年份下老工业城市在数字化转型过程中面临的主要障碍因子及其障碍度变化。通过分析以上障碍因子,可以识别老工业城市在数字化转型中的核心问题和瓶颈。首先,软件业务收入占GDP比例(Y7)始终是影响老工业城市数字化转型的最大障碍,其障碍度从2012年的21.033%升至2018年的22.352%,到2022年为21.799%。这表明软件产业薄弱是老工业城市数字化进程中的关键制约因素。由于以上城市主要依赖传统重工业,软件和信息技术行业的发展不足,导致数字经济和新兴技术的应用受到阻碍。其次,企业R&D经费支出占GDP比例(Y12)也是长期的障碍,障碍度在2012年为19.575%,到2022年为18.975%。这一现象反映出老工业城市在技术创新和研发投入上力度不足,缺乏推动技术进步的核心动力。R&D投入的不足意味着老工业城市在技术升级和新兴产业培育方面存在严重滞后。技术合同成交额(Y10)反映技术创新的转化能力,其障碍度从2012年的13.369%增长至2022年的16.212%。这表明,尽管老工业城市具备一定的技术研发能力,但创新成果未能有效转化为生产力,技术扩散和产业应用较为缓慢,限制了企业的数字化升级。电信业务总量占GDP比例(Y6)的障碍度在2014年达到14.264%的峰值,尽管2022年有所下降至13.775%,但这一因素仍反映出老工业城市的信息通信技术基础薄弱,尤其在支撑数字化和智能化产业的应用方面,电信基础设施的不足对整体数字化转型形成了瓶颈。光缆线路长度(Y2)的障碍度从2012年的9.207%上升至2022年的12.345%。尽管中国大部分地区已实现了较好的光纤覆盖,但老工业城市的网络基础设施相对滞后,无法满足工业互联网和数据密集型应用的需求,这进一步限制了以上城市数字化转型的速度和效率。互联网宽带接入端口(Y3)的障碍度在2022年为6.028%,尽管其影响程度较低,但随着数字经济的快速发展,宽带接入端口的需求不断增长,这仍是老工业城市需要克服的基础设施挑战之一。总的来看,老工业城市的数字化转型面临着软件产业薄弱、研发投入不足、技术转化率低、通信基础设施落后等多重挑战。要加快以上城市的数字化转型进程,亟需加强技术研发投入、提升创新成果的转化效率,并优化基础设施建设,以确保其在数字经济时代获得竞争优势。

3.2.2减污降碳障碍因子诊断
表5展示了不同年份下老工业城市减污降碳障碍因子及其障碍度的变化,揭示了各因素对减污降碳目标的影响及其变化趋势。通过数据分析可以发现,减污降碳的主要障碍因子在各年份间表现出一定的动态变化,但二氧化硫排放量(X1)和氮氧化物排放量(X2)始终是老工业城市减污降碳的主要障碍因素,其障碍度在各年份中均处于较高水平。特别是X1的障碍度从2012年的21.345%逐步下降至2022年的19.532%,尽管有所改善,但其仍是主要制约因素,这表明传统工业结构和燃煤能源依赖对大气污染的治理带来了长期挑战。X2的障碍度则相对稳定,从2012年的17.532%波动至2022年的17.834%,显示出氮氧化物的治理难度依然较大,主要原因可能与老工业城市机动车尾气和工业废气排放控制不足有关。此外,一般工业固体废物生产量(X4)的障碍度从2012年的15.876%升至2022年的16.123%,表明固废管理的需求在减污降碳中的重要性逐步提高,反映了资源型城市产业结构调整中固废治理能力的短板。烟粉尘排放量(X3)的障碍度从2012年的13.745%上升至2022年的14.723%,其波动趋势显示出老工业城市在大气颗粒物控制中仍存在难题。碳排放经济强度(X5)的障碍度在10a间呈现出略微下降趋势,从2012年的12.234%降至2022年的11.943%,表明尽管单位经济产出的碳排放在整体能耗结构优化中有所改善,但高碳排放行业仍然是阻碍碳减排目标实现的关键问题。而碳排放人口强度(X6)的障碍度则呈现波动下降态势,从2012年的11.532%降至2022年的10.945%,显示出老工业城市在单位人口的碳排放方面有所减少,绿色转型取得了一定成效,但仍有进一步优化的空间。整体来看,二氧化硫和氮氧化物排放仍是核心障碍,这说明老工业城市的减污降碳进程需更大力度聚焦于污染物控制和清洁能源替代,同时注重固废治理和产业结构调整,以实现更高质量的绿色转型。

3.2.3各区域城市数字化转型与减污降碳协同发展的障碍因子诊断
表6展示了不同区域和等级的老工业城市在数字化转型与减污降碳方面的主要障碍因子及其障碍度。从表格数据中可以看出,不同区域和城市等级在数字化转型与减污降碳的障碍因子及障碍度方面存在显著差异。首先,在数字化转型方面,东部地区和东北部地区的首要障碍因子均为软件业务收入占GDP比例(Y7),障碍度分别为21.796%和21.795%,反映出以上区域虽然经济基础较强,但在推动数字产业发展上仍有明显不足。中部和西部地区则以企业研发经费支出占GDP比例(Y12)为首要障碍,障碍度分别为19.573%和20.682%,说明技术创新投入的不足是其数字化转型的核心瓶颈。此外,低等级城市(如四线、五线城市)也以Y7和Y12为主要障碍因子,障碍度高达23.232%-26.793%,表明低等级城市不仅软件产业薄弱,还面临创新能力不足的问题。减污降碳方面,障碍因子表现出显著的区域和等级差异。东部和东北部地区以二氧化硫(X1)和氮氧化物(X2)排放为主要障碍因子,障碍度分别为22.763%-23.657%,表明以上地区在传统工业污染治理上仍有较大压力。中部地区和三线城市则在氮氧化物(X2)和工业固废(X4)排放上面临更大挑战,障碍度分别为23.456%和21.764%,说明资源型和重工业城市的固废处理能力亟待提升。西部地区和五线城市的首要障碍均为工业固废(X4),障碍度分别达到24.876%和26.783%,突显出经济发展滞后地区在固废治理上的短板。此外,三线和四线城市中碳排放强度相关指标(如X5)逐渐显现,表明低等级城市的减污降碳压力正在从传统污染治理向碳减排转移。总体而言,不同区域和等级城市的数字化与绿色转型协同发展面临各自独特的障碍,东部城市需要聚焦数字产业升级和污染治理技术优化,而中西部及低等级城市则需加大技术创新和基础设施投入,推动高污染产业转型升级以实现绿色发展目标。

4建议
(1)加大研发投入与技术创新支持,提升老工业城市的数字化转型动力。针对老工业城市技术创新能力不足的问题,建议政府加大对老工业城市企业的研发投入支持,特别是对于软件业务收入占GDP比例较低的城市,实施创新驱动战略。具体可操作的措施包括:设立创新发展基金,针对性支持数字技术、人工智能和大数据领域的研发项目,鼓励企业与高校、科研机构开展产学研合作,推动技术研发和成果转化。同时,通过税收优惠和补贴政策,激励企业加大在数字化技术、智能制造方面的研发投入。此外,建立技术创新试点城市,优先在基础设施完善的城市推进数字化技术实验项目,形成可复制、可推广的技术创新示范效应,带动其他老工业城市加速数字化转型进程。
(2)强化基础设施建设,推动数字技术与传统产业深度融合。针对老工业城市在基础设施方面的不足,尤其是光缆线路长度和互联网宽带接入端口等问题,建议政府推动数字基础设施的全面升级。具体可通过加快5G网络建设与部署,优化现有光纤网络,提高数据传输能力,满足工业互联网、智能制造等高带宽需求。此外,针对中西部和东北地区,开展“宽带下乡”工程,确保城市及周边地区的基础设施升级同步进行,避免数字鸿沟的加剧。与此同时,推广数字化与传统工业的深度融合,实施“数字化工厂改造计划”,支持制造业企业采用智能化设备和数字化管理系统,推动老工业城市传统产业向高效、低耗方向转型。
(3)加强环境监管与清洁技术推广,推动绿色低碳发展。针对二氧化硫和氮氧化物排放依然居高不下的现状,建议政府加强环境监管与政策引导,推动企业采用清洁生产技术。具体措施包括:加大对高污染行业的环保审查和监测力度,强制推行碳排放总量控制机制,对排放超标的企业进行惩罚并要求限期整改。同时,鼓励企业采用清洁能源和低碳技术,如推广电动化设备、改进燃烧技术、发展可再生能源等。此外,通过政府与市场共建的绿色技术创新平台,推动环保技术、节能设备的研发和应用,支持企业在碳捕集与封存、污染物净化等领域进行技术升级。确保老工业城市在绿色转型过程中,通过清洁技术的广泛应用,实现高效减排目标。
5结论
基于对2010-2022年全国95个老工业城市的实证研究,揭示了老工业城市在数字化转型与减污降碳协同发展中的关键特征与主要制约因素。研究发现,老工业城市的数字化转型与减污降碳协同发展水平整体呈上升趋势,但区域和城市等级间差异显著,东部地区和二线城市发展水平较高,而中西部地区、东北地区及低等级城市明显滞后。技术创新能力不足(如研发经费占GDP比例较低)和基础设施薄弱(如光缆线路长度和互联网宽带接入端口不足)是限制数字化转型的主要障碍,同时,二氧化硫、氮氧化物排放仍是阻碍减污降碳的关键因素,传统工业结构与能源依赖显著制约绿色转型。不同区域和城市等级面临的障碍具有显著差异,东部地区主要受数字产业升级不足限制,而中西部地区和低等级城市受基础设施落后与污染治理能力不足影响更大。此外,技术创新成果转化效率低、高耗能产业转型难度大及资源和政策支持不均衡等系统性约束进一步加剧了老工业城市高质量转型的困难。

欢迎投稿:来稿请发送到至cntianhe@sina.com
CopyRight©2024 cntianhe.org.cn All Rights Reserved 天和经济研究所 版权所有
E-mail:cntianhe@sina.com 京ICP备2024042563号-1
联系电话:010-82169629
